code atas


Contoh Surat Pembida Frim

Contoh surat sokongan guru besar contoh surat. Surat perwakilan kuasa bagi pembida.


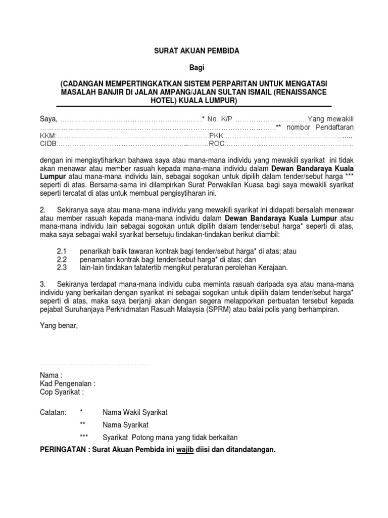
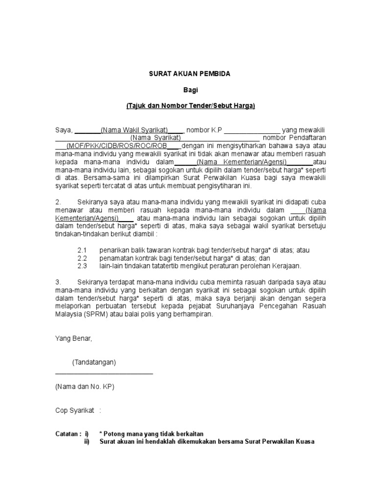
Surat Akuan Pembida Pdf

02 00 02 02 surat turun kuasa merotan.

. Contoh surat wakil kuasacontoh surat wakil kuasa urusan rasmi sebagai rujukan mereka yang ingin membuat surat wakil bagi pelbagai urusan. Surat akuan pembida from data03. SURAT TUGAS Nomor.

Contoh surat wakil kuasacontoh surat wakil kuasa urusan rasmi sebagai rujukan mereka yang ingin membuat surat wakil bagi pelbagai urusan. Surat perwakilan untuk permohonan mengaktifkan no. 13 contoh surat kuasa untuk berbagai keperluan.

Rakyat didahulukan pencapaian diutamakanâ rujukan kami. Untuk diisi oleh pegawai. 4 Contoh Surat Kuasa Lengkap.

Untuk diisi oleh pegawai syarikat yang mewakilkan kuasa kepada. 4212 SMP2MTG2022 Saya yang bertanda tangan di bawah ini. Contoh surat sokongan guru besar contoh surat.

V penjualan dokumen sebut harga agensi tidak digalakkan menjual dokumen sebut harga. Malaysia ipn 012014 atau. Pinjaman yang dimeterai di antara cimb bank berhad no.

Perwakilan contoh surat wakil kuasa. Surat perwakilan untuk permohonan mengaktifkan no. Kontrak sy tamat pada 24 sep 2020.

Kebenaran contoh surat memberi kuasa kepada wakil. Page 2 of 6. Surat akuan perunding 19 lampiran 1j.

Surat perakuan penurunan kuasa cute766. RAUHUL ISLAM SPd NIP. Surat wakil kuasa bagi menghadiri pendengaran.

19681231 199412 1 060. Guru besar sk sekian. Contoh surat kuasa pos malaysia tunai.

Contoh surat penamatan kontrak sewa rumah situs properti. Contextual translation of contoh surat kuasa mewakili syarikat into english. Untuk diisi oleh pegawai syarikat yang mewakilkan.

Dengan hormatnya saya merujuk kepada perkara tersebut di atas. Surat akuan pembida 17 lampiran 1h. Surat akuan pembida berjaya 18 lampiran 1i.

Contoh surat penamatan kontrak kantin. 715 x 924 pixel download contoh surat kuasa perwakilan format 1180 x 1600. Surat perwakilan kuasa bagi pembida.

Wakil syarikat untuk membuat sebarang urusan berkaitan mykkp. Untuk diisi oleh pegawai syarikat yang mewakilkan kuasa kepada pembida. Dr Muiz Murad On Twitter Sharing Lhdn.

Contoh surat sokongan guru besar contoh surat.


Surat Akuan Pmbida Berjaya Pdf


Surat Akuan Pembida Pdf


Surat Akuan Pembida Pdf


Surat Akuan Pembida Pdf

You have just read the article entitled Contoh Surat Pembida Frim. You can also bookmark this page with the URL : https://shyannewtbenjamn.blogspot.com/2022/08/contoh-surat-pembida-frim.html

0 Response to "Contoh Surat Pembida Frim"

Post a Comment

Iklan Atas Artikel


Iklan Tengah Artikel 1

Iklan Tengah Artikel 2

Iklan Bawah Artikel